玉米籽粒收获机可变间隙式过桥设计与试验

靳 范1,2 杨世航1,3 张俊三1,2 李谦绪2 车 珅1,3 庞 统1,3

(1.新疆农业大学机电工程学院, 乌鲁木齐 830052; 2.新疆新研牧神科技有限公司, 乌鲁木齐 830011;3.新疆智能农机装备工程技术研究中心, 乌鲁木齐 830052)

摘要:针对目前玉米籽粒收获机在搭配13行及以上玉米割台以16 kg/s的喂入量进行收获作业时,过桥输送能力不足,且在输送过程中喂入量波动较大时易出现堵塞的情况,设计了一种可变间隙式过桥,阐述了可变间隙式过桥的工作原理,并对浮动机构和链耙输送机构等关键部件进行了参数设计和运动分析。利用多体动力学软件RecurDyn建立了可变间隙式过桥虚拟样机模型,运用三维扫描技术获得果穗的物理模型从而在离散元软件EDEM中建立了果穗离散元模型,通过EDEM-RecurDyn耦合仿真的方法获得了果穗在可变间隙式过桥中的运动轨迹以及各个输送阶段的速度和受力变化情况,明确了果穗的输送规律,确定了影响输送效果的主要影响因素。以螺旋输送器转速、输送链轮转速和输送间隙为试验因素,以果穗输送率和损伤率为评价指标,进行三因素三水平仿真试验,并利用仿真试验获得的最佳工作参数进行田间试验,田间试验结果表明,当喂入量为16 kg/s、螺旋输送器转速为160 r/min、输送链轮转速为460 r/min、输送间隙为60 mm、脱粒滚筒转速为400 r/min、凹板间隙为30 mm、风机转速为1 200 r/min、振动频率为5 Hz、上筛筛孔开度为18 mm时,可变间隙式过桥的输送率为98.98%,整机籽粒破碎率为1.37%,籽粒含杂率为0.85%,总损失率为1.09%,田间验证试验与仿真试验结果基本一致,满足过桥的工作要求。

关键词:玉米籽粒收获机; 可变间隙式过桥; 浮动机构; 链耙输送机构; EDEM-RecurDyn

0 引言

随着我国农业现代化的快速发展,国内的可耕种土地日益集中,在新疆、东北、内蒙古以及中原部分地区大型化耕、种、收机械正在迅速普及,宽幅、大喂入量的收获机械正在成为发展主流[1]。其中在玉米种植区,用玉米籽粒收获机进行收获作业,使用烘干塔等烘干设备对收获的玉米籽粒进行烘干的作业模式极大缩短了收获时间,对于粮食保收具有重要意义[2]

目前,玉米籽粒收获机可实现一次作业完成摘穗、脱粒、清选和秸秆切碎抛撒还田4个收获环节,近年来对于玉米籽粒收获机的研究越来越多[3],其中对于宽幅割台、大喂入量的脱粒和清选装置的研究已较为普遍,但是对于将摘穗和脱粒环节衔接起来的过桥研究还较少。过桥作为连接割台和脱粒装置的过渡机构,在整机作业过程中能够持续稳定地保持物料的流畅输送,对于整机的高效工作至关重要[4-5]。为了保证过桥能够达到高效、稳定的输送效果,减少物料堵塞、输送机构损坏等情况的发生,国内针对过桥做过相应的优化设计[6-8]。随着动力学、离散元等仿真软件的不断发展,目前通过仿真软件已经能够实现一些复杂机构的运动仿真,并且可以从中获得在真实试验中较难监测到的运动数据[9]。从相关研究可知[10-11],离散元法和有限元法相结合的耦合仿真方法在农业机械领域已有了较成熟的应用,对于机构在实际工作中较难观测到的部分,通过仿真试验能够更加直观地获取机构的运动规律[12-14]

针对玉米籽粒收获机的过桥在工作时易堵塞的问题,本文在前期研究的基础上,以玉米籽粒收获机的过桥为研究对象,结合果穗的物理特性和过桥的工作特点,设计一种能够搭配13行及以上玉米割台工作的可变间隙式过桥,过桥中的浮动机构能够根据整机作业过程中喂入量的变化自适应调节过桥的最大输送量,达到防止堵塞、减少果穗损伤的目的。通过EDEM-RecurDyn耦合仿真技术对果穗物料流与过桥的互作过程进行仿真模拟,研究过桥的不同工作参数对果穗输送效果的影响规律,为大喂入量玉米籽粒收获机过桥的设计研究提供理论依据。

1 整体结构与工作原理

1.1 整体结构

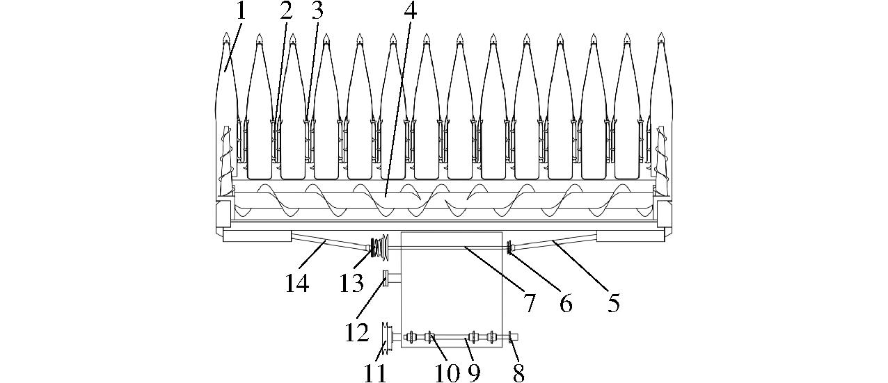
可变间隙式过桥结构如图1所示,主要由壳体、割台挂接机构、浮动输送机构、间隙调节机构、浮动补偿机构以及变速机构等组成。割台挂接机构安装在壳体的前部,包括割台锁定机构和仿形调节机构;壳体前端通过割台挂接机构与割台连接,壳体后端安装于整机机架前端的固定槽内,升降油缸一端安装于壳体底部,一端安装于整机机架前横梁上,控制割台和过桥升降;可变间隙式过桥安装于牧神4YZL-13型玉米籽粒收获机上进行试验验证。

图1 可变间隙式过桥结构示意图

Fig.1 Structure diagram of variable gap conveying device

1.割台挂接机构 2.仿形调节机构 3.壳体 4.检修窗口 5.主动带轮 6.浮动补偿机构 7.张紧轮 8.变速机构 9.割台锁定机构 10.浮动输送机构 11.间隙调节机构 12.输送链轮

1.2 工作原理

过桥工作时,主动带轮作为动力输入端通过传动机构将动力传递至输送链条,输送链条带动输送链耙转动一周即完成一个输送循环,每个输送循环内输送链耙都会在输送腔中经过抓取、推运、抛出和空回4个阶段,从而将割台螺旋输送器推运到过桥喂入口的果穗输送到下一工作部件——脱粒分离装置处;在输送过程中过桥的输送量随着车速以及不同收获区域作物产量的变化实时改变,在过桥喂入口处浮动机构随着输送量的变化可以在过桥壳体内上下浮动起到改变输送腔大小的作用,从而达到动态调节最大输送量以防止过桥发生堵塞的目的。

过桥传动机构采用机械传动加电液控制的耦合动力输出形式,动力传递路线分为割台传动和链耙传动,如图2所示。

图2 过桥动力传递路线示意图

Fig.2 Power transmission route diagram of conveying device

1.分禾器 2.拉茎辊 3.拨禾链 4.螺旋输送器 5.割台右侧传动轴 6.传动链轮 7.花键轴 8.安全离合器链轮 9.输送链轮主动轴 10.输送链轮 11.主动带轮 12.张紧轮 13.从动带轮 14.割台左侧传动轴

发动机通过机械传动将动力传递至主动带轮处,主动带轮通过带传动带动从动带轮转动,从动带轮与花键轴同轴转动,花键轴通过万向节连接两端的割台传动轴后将动力传递到割台,为割台拉茎辊、拨禾链和螺旋输送器提供动力,此为割台传动;同时花键轴上另一端的传动链轮通过传动链条将动力传递给安全离合器链轮,安全离合器链轮带动输送链轮主动轴转动,其上的输送链轮进而带动输送链条以及装配在链条上的输送链耙绕输送链轮和喂入辊作往复回转运动,完成果穗的输送工作,此为链耙传动。

2 关键部件设计与分析

2.1 浮动机构

浮动机构主要由喂入辊、浮动架、间隙调节机构和浮动补偿机构组成,结构如图3所示。主要功能是依靠浮动架在壳体内部上下位置的变化,实现过桥喂入口处喂入辊上的输送链耙和壳体底板之间输送间隙的改变。

图3 浮动机构结构示意图

Fig.3 Floating mechanism diagram

1.喂入辊 2.浮动架前横梁 3.链耙支撑板 4.浮动架 5.中间轴 6.浮动支座 7.间隙调节机构 8.浮动架后横梁 9.浮动补偿机构 10.套轴

喂入辊通过内部的中间轴和两侧的浮动支座连接,可以相对浮动支座自由旋转;浮动支座与浮动架前横梁固定连接,浮动架后横梁与过桥壳体两侧的浮动补偿机构连接,整个浮动架能够以浮动补偿机构中的套轴为回转中心在间隙调节机构的浮动间隙内上下摆动。

2.1.1 浮动机构运动学分析

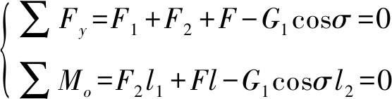
为了探究浮动架在工作过程中的受力情况,对工作过程中的浮动架建立静力学及力矩方程进行分析,工作过程中浮动架随过桥一同处于倾斜状态,浮动架与水平方向的夹角为σ,如图4所示,对浮动架运动方向上的受力情况进行分析。

图4 浮动机构受力分析图

Fig.4 Force analysis diagram of floating mechanism

浮动机构在运动方向上的受力公式为

(1)

式中 ∑Fy——沿y坐标方向合力,N

Mo——浮动架对o端的合力矩,N·m

F1——腰型套对浮动架的支持力,N

F2——椭圆形下限位块对浮动架支持力,N

F——果穗物料流对喂入辊的支持力,N

G1——浮动架重力,N

l——喂入辊中心到浮动架回转中心的距离,取1 065 mm

l1——椭圆形下限位块到浮动架回转中心的距离,取962.5 mm

l2——浮动机构质心到浮动架回转中心的距离,取672 mm

在田间进行收获作业时,割台螺旋输送器输送果穗到过桥喂入口处,当整机喂入量未超过过桥的输送量浮动阈值时,在喂入口处果穗物料流对喂入辊的支持力为零,浮动架未向上浮动;当喂入量超过过桥的输送量浮动阈值时,在喂入口处喂入辊与壳体底板之间的果穗增多,且果穗物料流对喂入辊的支持力大于喂入辊和浮动架重力,喂入辊和浮动架被果穗顶起绕套轴向上摆动,随之喂入辊与壳体底板之间的输送间隙增大,过桥输送能力增强。

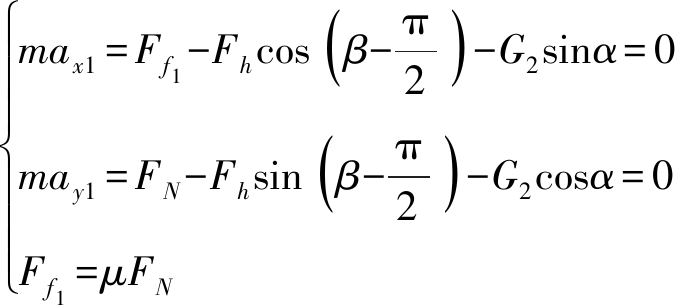
喂入辊在工作状态时的受力分析如图5所示,果穗物料流受到绕喂入辊和输送链轮作回转运动的输送链耙提供的推力和旋转运动的喂入辊摩擦力向后运动,由动力学方程可知

(2)

图5 喂入辊受力分析图

Fig.5 Force analysis diagram of feeding roller

式中 T1——链条对喂入辊松边拉力,N

T2——链条对喂入辊紧边拉力,N

r——喂入辊半径,取0.1 m

Ff——喂入辊与壳体底板间果穗物料流对喂入辊的摩擦力,N

q——喂入辊下方果穗物料流质量,kg

λv——果穗物料流切向运动速度系数

ω——喂入辊角速度,rad/s

Mr——摩擦阻力矩和空气阻力矩之和,N·m

JO——喂入辊转动惯量,kg·m2

喂入辊所受的力矩分为动力矩和阻力矩,链条对喂入辊紧边拉力力矩为动力矩,其余为阻力矩;果穗物料流对喂入辊的摩擦阻力矩以及喂入辊空载扭矩影响喂入辊扭矩的大小,其中摩擦阻力矩与输送量有关,输送量越大摩擦阻力矩就越大,空载扭矩与喂入辊转动惯量、转速有关。

2.1.2 间隙调节机构

间隙调节机构是决定浮动机构上下运动范围的关键部件,该机构位于喂入辊两侧,主要由限位块、锁止板、锁止销、锁止弹簧、锁止拉环和调节把手组成,结构如图6所示。主要功能是调节喂入辊在上限位块和椭圆形下限位块之间的浮动间隙H1,调节喂入辊上输送链耙和过桥壳体底板之间的输送间隙H2

图6 间隙调节机构结构示意图

Fig.6 Structure diagrams of gap adjusting mechanism

1.支撑座 2.上限位块 3.壳体侧壁 4.调节把手 5.锁止销 6.锁止弹簧 7.锁止拉环 8.连接螺栓 9.连接螺母 10.锁止板 11.椭圆形下限位块 12.喂入辊

上限位块和椭圆形下限位块固定于壳体侧壁内侧,锁止板固定于壳体侧壁外侧,利用连接螺栓依次穿过椭圆形下限位块、壳体侧壁、锁止板和调节把手后将其固定到一起,向壳体外侧拉动锁止销克服弹簧阻力锁止销向外侧移动,此时转动调节把手与之相连的椭圆形下限位块相应做旋转运动。因为椭圆形下限位块的长轴和短轴尺寸不同,所以随着椭圆形下限位块的转动,上限位块与椭圆形下限位块之间的距离改变,由椭圆形下限位块支撑的浮动喂入辊位置也改变,即浮动间隙改变,同时喂入辊上输送链耙与壳体底板之间的输送间隙也改变。

参考文献[6],浮动间隙取20 mm,输送间隙一般由所输送作物的三轴尺寸决定,在输送玉米果穗时输送间隙要与穗粗(果穗直径)相适应。若过桥输送间隙相对于穗粗过大,则输送链耙对果穗的推送效果较差,若输送间隙相对于穗粗过小,则输送链耙易对果穗造成挤压损伤且果穗易在喂入口处堵塞。参考文献[15-18],选取目前国内3个玉米主产区,即北方春播玉米区、黄淮海平原夏播玉米区、西南山地玉米区广泛种植的9种不同玉米品种果穗物理参数作为参考,确定过桥输送间隙取值范围为40~70 mm。

2.1.3 浮动补偿机构

浮动补偿机构结构如图7所示,主要由腰型套、套轴、调节拉杆和弹簧等组成,腰型套内嵌在过桥壳体侧壁上,套轴可在腰型套内部前后移动,浮动架连接螺栓穿过调节拉杆、套轴和腰型套与浮动架后横梁侧板内壁上的浮动架连接螺母相连。喂入辊受到果穗物料流向上挤压的力后带动浮动架向上摆动,同时喂入辊上的输送链条也随浮动架向上移动,此时输送链条所需运行长度会增加,但实际长度固定不变。因此,在浮动架向上运动时长度为定值的输送链条会对浮动架施加一个沿车架纵向的拉力,使浮动架克服浮动补偿机构中弹簧的弹力向后运动,从而保证浮动架向上运动过程中输送链条所需运行长度维持不变,达到浮动补偿的目的。

图7 浮动补偿机构结构示意图

Fig.7 Floating compensation mechanism structure diagram

1.浮动架连接螺母 2.浮动架后横梁侧板 3.腰型套 4.套轴 5.浮动架连接螺栓 6.调节拉杆 7.L型支撑板 8.弹簧 9.压紧螺母

2.2 链耙输送机构

链耙输送机构主要由输送链轮、输送链条和输送链耙组成,结构如图8所示。主要功能是利用输送链条带动输送链耙绕喂入辊和输送链轮作往复回转运动,从而将过桥喂入口处的果穗沿壳体底板均匀地向后推送。

图8 链耙输送机构结构示意图

Fig.8 Chain rake conveying mechanism structure diagram

1.短链耙 2.长链耙 3.喂入辊 4.输送链条 5.输送链轮

2.2.1 输送过程运动分析

果穗被螺旋输送器推运到过桥喂入口处之后,被输送链耙沿过桥壳体底板方向强制向后推送,在推送过程中对壳体底板上的果穗进行受力分析,如图9所示。

图9 果穗受力分析

Fig.9 Stress analysis of corn ear

不考虑链耙推力的静止状态下,果穗动力学方程为

(3)

在链耙推送的运动状态下,果穗动力学方程为

(4)

式中 m——果穗质量,kg

G2——果穗重力,N

ax1ax2——输送链耙x轴上的加速度,m/s2

ay1ay2——输送链耙y轴上的加速度,m/s2

Fh——果穗受到物料流的合力,N

Ff1——果穗与壳体底板的摩擦力,N

FN——壳体底板对果穗的支持力,N

μ——果穗与壳体底板的滑动摩擦因数

Ft——输送链耙对果穗的作用力,N

α——壳体底板与水平面夹角,(°)

β——FNFh的夹角,(°)

γ——Ftx轴夹角,(°)

由以上分析可得,运动过程中果穗在运动方向上的加速度为

(5)

其大小主要受输送链耙推运角度、物料流合力大小和过桥工作倾角的影响。

2.2.2 输送机构参数设计

参考适配试验机型牧神4YZL-13型玉米籽粒收获机整机机架宽度,过桥壳体宽度最大值应比机架宽度略小,取值为1 380 mm;由于过桥壳体较宽,为使作物可以在过桥中均匀流畅的输送,采用3组输送链耙分区域、交错对称安装的结构形式,保证3组输送链耙完整覆盖整个输送工作腔。在输送过程中既可以通过分区域输送来降低大喂入量情况下单个输送链耙的输送压力,又可以通过交错安装来提升输送链耙推运果穗的均匀性提高输送效率,还可以通过对称安装有效减小输送链耙工作过程中的振动,保证整个过桥负荷均匀进而降低功耗。并且采用此种分组、分区域、交错对称安装结构形式的链耙输送机构,有效减少了宽幅过桥采用宽幅输送链耙抓取果穗时由于抓取范围较大、抓取区域内果穗形态较为复杂从而易对果穗造成挤压损伤的情况;并且在相邻组输送链耙之间设置了推运重叠区,在不增大装置整体尺寸的情况下增加了有效推运面积、提高了过桥整体的输送能力。

输送链耙排列示意图如图10所示,由于从割台螺旋输送器输送到过桥喂入口的玉米果穗呈现中间多两侧少的现象,因此两侧采用短链耙、中间采用长链耙以提高中部链耙的推运能力,3组输送链耙的总运行宽度L与喂入辊长度一致,均为1 300 mm,同组链耙之间的链耙安装距离为L1,相邻组链耙中交错安装的链耙间距为L2,推运重叠宽度为L3

图10 输送链耙排列示意图

Fig.10 Conveyor chain rake arrangement diagram

链耙安装间距是链耙输送机构的重要结构参数,其中单组输送链耙中前后距离过大会导致输送效率过低,在整机喂入量较大时易导致过桥堵塞,前后距离过小则会导致输送过程中输送链耙对果穗挤压,从而导致损伤率增加。农机输送链上输送链耙安装间距计算式为

L1=n0p

(6)

式中 n0——相邻链耙间间隔链节数量,个

p——链条节距,取41.4 mm

为了避免输送过程中输送链耙对果穗造成挤压损伤,每组链耙中相邻两链耙的最小安装间距应大于果穗的穗长(轴向最大长度),使得果穗主要被输送链耙以推运的形式完成输送,即

d1<n0p

(7)

式中 d1——果穗穗长,mm

参考全国三大玉米主产区的玉米果穗物理参数,取穗长参考值为250 mm,计算得n0>6.04,所以相邻链耙间间隔链节数量最小取值为7,链耙数量越多,整个链耙输送机构越重,越不利于浮动机构工作,因此考虑到轻量化的设计要求以及相邻两组链耙在链条上的安装位置后,同组链耙中相邻链耙间间隔链节数量取9个,则对应的安装距离L1为414 mm,相邻组链耙中交错安装的链耙间间隔链节数量取3个,则对应的链耙间距L2为165.6 mm。

为保证果穗能够流畅的向后输送、防止在过桥内堵塞,链耙输送机构的输送量Q1对于整机的设计喂入量16 kg/s要具有一定的设计冗余,取冗余输送量为18 kg/s,单位时间内链耙输送机构的输送量可以参考刮板升运器的输送量[19]计算方法,即

Q1=Bhvτψk

(8)

式中 B——链耙等价推运宽度,取1.3 m

h——链耙等价推运高度,取0.05 m

v——链速,m/s

τ——果穗单位容积质量,取400 kg/m3

ψ——充满系数,取0.4

k——倾斜系数,取0.5

在满足冗余输送量的设计要求时,计算得输送链的最低速度为3.46 m/s,此时输送链轮的转速计算式为

(9)

式中 z——链轮齿数,为13个

n1——输送链轮转速,r/min

计算得到满足设计要求的输送链轮转速最小值为389 r/min。

3 EDEM-RecurDyn耦合仿真分析

采用多体动力学软件RecurDyn和离散元软件EDEM耦合仿真的方法,对果穗在螺旋输送器和可变间隙式过桥输送过程中的运动情况进行仿真分析。

3.1 多体动力学模型建立

收获机在实际工作过程中,进入到可变间隙式过桥处的物料来自于割台螺旋输送器,因此为了获得准确的仿真效果,选取当前市场主流的收获行数为13行的玉米割台所使用的螺旋输送器与可变间隙式过桥搭配作业,割台螺旋输送器主要结构参数为:螺旋输送器筒体长度6 000 mm,螺旋叶片内径220 mm、外径440 mm,螺距600 mm,螺旋叶片与壳体间隙15 mm。

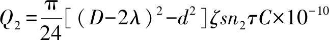
参考《农业机械设计手册》[19],螺旋输送器的推运量Q2计算式为

(10)

式中 D——螺旋叶片外径,mm

d——螺旋叶片内径,mm

λ——螺旋叶片与壳体间隙,mm

ζ——输送果穗时的充满系数,取0.3

s——螺旋叶片螺距,mm

n2——螺旋输送器转速,r/min

C——倾斜输送系数,取1

根据整机工作参数可知,螺旋输送器的最低推运量必须大于整机的设计喂入量,即达到16 kg/s以上,根据螺旋输送器的推运量公式可得,满足推运量要求的最低转速为142 r/min。

根据前期对机构的结构设计和尺寸参数的计算,利用三维设计软件Solidworks进行模型的创建,将创建完成的模型导入到RecurDyn中。在RecurDyn中继续完成链耙输送系统的创建,在4个输送链轮与喂入辊之间分别建立4条链条并设置相应的接触和约束,之后将输送链耙导入到模型中并调整位置坐标到链节对应位置完成输送链耙与链条之间约束的建立;最后完成整个模型中各零件之间的约束和接触的建立,设置相对应的材料属性,并在螺旋输送器和输送链轮处分别添加STEP驱动函数以实现螺旋输送器和输送链轮的旋转运动,至此整个多体动力学模型建立完成,如图11所示。

图11 装置多体动力学模型

Fig.11 Device multi-body dynamics model

3.2 果穗离散元模型建立

以新玉99玉米品种为原型,建立果穗离散元模型,使用三维扫描仪对挑选出的外观完整无残缺且具有代表性的果穗进行三维扫描,利用扫描仪配套的封装软件对扫描得到的果穗点云数据以STL格式文件导出;将导出文件用逆向建模软件Geomagic Studio打开,进行修补、填充和减少表面三角形数量等处理后得到外观拟合度较高的果穗三维模型;将经过逆向建模处理后的果穗模型导入到EDEM中,使用颗粒模板功能对模型进行自动填充从而得到果穗离散元模型,模型建立过程如图12所示。

图12 玉米果穗离散元建模过程

Fig.12 Discrete element modeling process of corn ear

3.3 耦合仿真模型建立及参数设置

利用RecurDyn与EDEM的耦合仿真接口将多体动力学模型以Wall文件形式导出,在EDEM中重新导入Wall文件,即多体动力学模型导入到EDEM中,利用Wall文件可以进行仿真数据的交互。在仿真过程中果穗离散元模型与多体动力学模型之间不断进行力的相互作用,而模型之间的相互作用主要由模型的材料属性和接触参数决定。参考文献[20-22]并结合仿真试验结果不断修订,最终确定果穗和耦合仿真模型的相关仿真参数如表1所示。

表1 仿真参数

Tab.1 Simulation parameters

项目 参数数值泊松比0.4果穗密度/(kg·m-3)1024剪切模量/Pa1.37×108泊松比0.28钢密度/(kg·m-3)7850剪切模量/Pa3.50×1010果穗果穗碰撞恢复系数静摩擦因数滚动摩擦因数0.250.430.07碰撞恢复系数0.33果穗钢静摩擦因数0.30滚动摩擦因数0.03

为了模拟果穗在耦合仿真模型中的运动情况,在耦合仿真模型最前端的螺旋输送器处添加矩形颗粒工厂,颗粒工厂尺寸参考螺旋输送器长度设置为长6 000 mm、高150 mm,用来生成果穗离散元模型,设置生成的果穗离散元模型沿x轴正方向以2 m/s的速度运动,以模拟果穗被割台拨禾链推送进入螺旋输送器的运动状态。设置重力加速度方向与RecurDyn中的方向相同,为y轴负方向9.81 m/s2,设置仿真步长为20%,仿真总时长为8 s,数据保存时间间隔为0.01 s,前5 s以16 kg/s的速度共生成277个果穗离散元模型,耦合仿真模型如图13所示。

图13 耦合仿真模型

Fig.13 Coupling simulation model

3.4 耦合仿真输送过程

为了能够直观观测到果穗在耦合仿真模型中的运动状态,将模型中壳体、螺旋输送器和喂入辊的显示方式设置为网格显示,将果穗显示方式设置为矢量箭头显示,箭头方向表示运动方向。在耦合仿真模型最前端,果穗从颗粒工厂中生成后模拟受到割台拨禾链的作用以一定的初速度朝向螺旋输送器径向方向运动,运动过程中受到重力加速度作用,下落到螺旋输送器与壳体之间的输送腔中;之后受到旋转运动的螺旋叶片的持续推动作用,沿着螺旋输送器轴向方向由两侧向中间运动到过桥喂入口处;在喂入口处果穗物料流沿着螺旋叶片法线方向被推运到链耙输送机构的抓取范围内,之后作往复回转运动的输送链耙抓取果穗并沿着链耙运动方向将其推运到过桥出料口处,整个仿真输送过程如图14所示。

图14 耦合仿真输送过程

Fig.14 Coupling simulation of transport process

3.5 输送过程分析

果穗在整个输送过程中大致可分为3个阶段:螺旋输送器轴向输送阶段、螺旋输送器与链耙输送机构过渡阶段、链耙输送机构推运阶段。果穗出现损伤的情况主要发生在螺旋输送器与链耙输送机构过渡阶段,在此阶段果穗易出现喂入不畅而导致过渡处堵塞的现象,进而导致输送链耙对果穗重复击打造成损伤或是直接损坏链耙输送机构。为了探究果穗在耦合仿真模型中各个输送阶段的速度和受力变化情况,以工况:螺旋输送器转速160 r/min、链轮转速450 r/min、输送间隙55 mm为例,利用EDEM的后处理模块导出其中一个果穗在输送过程中的速度和受力变化曲线。

如图15所示,在0~2.3 s,果穗还未由颗粒工厂生成,此时果穗速度和受力均为0,在2.3~2.7 s果穗生成并以2 m/s的初速度朝向螺旋输送器运动,运动过程中速度持续减小,在2.6 s与螺旋输送器底板接触速度减小为0并产生一个较大的碰撞力,接触之后由于弹力作用速度随即缓慢增大;在2.8 s果穗首次与旋转的螺旋叶片接触发生碰撞,在2.8~3.9 s果穗被旋转的螺旋叶片施加持续推力,使果穗以一定的推运速度持续朝向螺旋输送器中部运动;在3.9~4.6 s,运动到螺旋输送器中部的果穗被螺旋叶片推向过桥喂入口处,在此阶段果穗之间会产生较大的相互挤压力,速度也逐渐减小;在4.6~5.1 s,果穗先与速度较快的输送链耙碰撞产生较大的作用力,之后输送链耙以较高的速度沿过桥壳体底板持续推动果穗向出料口处运动,在5.1 s果穗运动到出料口处输送完成。综上,各阶段果穗的运动和受力情况满足预期要求,仿真模型具有较高的可靠性。

图15 果穗运动速度及受力曲线

Fig.15 Motion velocity and stress curve of corn ears

3.6 耦合仿真试验设计

结合果穗输送过程的理论分析以及耦合仿真结果可知,影响过桥输送效果的可调工作参数主要有螺旋输送器转速、输送链轮转速和输送间隙。螺旋输送器转速越高,叶片推送速度越快,即果穗沿轴向运动速度越快,输送率越高,同时果穗受到叶片的推力也越大,损伤率增加。输送链轮转速越高,输送链耙对果穗的抓取和推运速度越高,输送率增加,但是损伤率也随之增加;转速越低,果穗易在螺旋输送器与输送装置过渡处堆积,出现堵塞状况,造成损伤率增加。输送间隙越大,果穗被输送链耙一次性完成抓取和推送的机率越低,被输送链耙多次击打的机率越高,果穗损伤率越高,输送间隙越小,输送链耙对果穗的挤压作用越强,果穗损伤率越大。

根据前期计算及试验结果选定螺旋输送器转速为140~180 r/min、输送链轮转速为400~500 r/min、输送间隙为40~70 mm,以这3个工作参数为试验因素,以果穗输送率R1和损伤率R2作为评价指标开展三因素三水平仿真试验,以确定最佳工作参数组合,试验因素编码如表2所示。

表2 试验因素编码

Tab.2 Experimental factors codes

编码因素螺旋输送器转速/(r·min-1)输送链轮转速/(r·min-1)输送间隙/mm-114040040016045055118050070

3.7 试验结果分析

利用EDEM中的Analyst模块,在耦合仿真模型中添加Grid Bin Group计算域,每组仿真试验完成后,读取计算域内遗留的果穗数量并计算成功输送的果穗数量占生成果穗总数量的百分比即为输送率;参考文献[23-24]可知,若仿真输出果穗的受力大于550 N,则果穗上玉米籽粒出现破裂视为果穗损伤,计算受力大于果穗损伤临界值的果穗数量占生成果穗总数量的百分比即为损伤率。

采用Design-Expert软件中的Box-Behnken中心组合法进行试验,试验方案与结果如表3所示,ABC为因素编码值。

表3 试验方案与结果

Tab.3 Test plan and results

序号因素ABC输送率R1/%损伤率R2/%1-1-1094.950.7221-1097.473.613-11097.833.25411098.923.975-10-195.675.05610-196.035.787-10195.312.53810197.114.6990-1-194.585.421001-198.196.14110-1196.392.891201197.474.331300098.561.441400098.561.811500098.922.171600098.561.811700098.921.44

3.7.1 方差分析

根据仿真试验结果进行回归拟合分析,方差分析结果如表4所示。

表4 方差分析

Tab.4 Analysis of variance

注:**表示影响极显著(P<0.01);*表示影响显著(0.01≤P<0.05)。

方差来源输送率R1损伤率R2FPFP模型60.80<0.0001∗∗60.78<0.0001∗∗A64.50<0.0001∗∗64.57<0.0001∗∗B157.62<0.0001∗∗38.970.0004∗∗C6.350.0398∗96.59<0.0001∗∗AB7.920.0260∗14.390.0068∗∗AC8.030.0252∗6.250.0410∗BC24.800.0016∗∗1.580.2485A267.83<0.0001∗∗12.130.0102∗B210.030.0158∗22.970.0020∗∗C2178.64<0.0001∗∗270.67<0.0001∗∗失拟项2.540.19490.70500.5970

输送率R1模型回归方程的P值小于0.01,失拟项的P值大于0.05,表明回归模型达到极显著水平而失拟项不显著,模型可信。回归项ABBCA2C2达到极显著水平(P<0.01),回归项CABACB2达到显著水平(0.01≤P<0.05),各因素对输送率R1的影响由大到小顺序为:输送链轮转速B、螺旋输送器转速A、输送间隙C。对试验结果进行多元回归拟合,得到输送率R1的回归方程为

R1=98.7+0.72A+1.13B+0.23C-0.36AB+0.36AC-0.63BC-1.02A2-0.39B2-1.65C2

(11)

损伤率R2模型回归方程的P值小于0.01,失拟项的P值大于0.05,表明回归模型达到极显著水平而失拟项不显著,模型可信。回归项ABCABB2C2达到极显著水平(P<0.01),回归项ACA2达到显著水平(0.01≤P<0.05),回归项BC无显著影响(P≥0.05)。各因素对损伤率R2的影响由大到小顺序为:输送间隙C、螺旋输送器转速A、输送链轮转速B。对试验结果进行多元回归拟合,去除对损伤率影响不显著项,得到损伤率R2的回归方程为

R2=1.73+0.81A+0.63B-0.99C-0.54AB+0.36AC+0.48A2+0.67B2+2.29C2

(12)

3.7.2 响应面分析

各试验因素交互作用对输送率的影响如图16所示。螺旋输送器转速与输送链轮转速交互作用对输送率的影响如图16a所示,当输送间隙固定为中心水平55 mm时,输送链轮转速一定,输送率随螺旋输送器转速的增加呈现先快速增加然后趋于平稳而后逐渐下降的趋势;当螺旋输送器转速一定时,随着输送链轮转速的增加,输送率呈现逐渐上升的趋势。螺旋输送器转速与输送间隙交互作用对输送率的影响如图16b所示,当输送链轮转速固定为中心水平450 r/min时,输送间隙一定,输送率随螺旋输送器转速的增加呈现先增加后减小的趋势;当螺旋输送器转速一定时,随着输送间隙的增大,输送率呈现先增加后减小的趋势。输送链轮转速与输送间隙交互作用对输送率的影响如图16c所示,当螺旋输送器转速固定为中心水平160 r/min时,输送间隙一定,输送率随着输送链轮转速的增加呈现逐渐上升的趋势;当输送链轮转速一定时,随着输送间隙的增大,输送率呈现先增加后减小的趋势。

图16 各因素交互作用对输送率影响的响应曲面

Fig.16 Response surfaces of influence of interaction of various factors on delivery rate

各试验因素交互作用对损伤率的影响如图17所示。螺旋输送器转速与输送链轮转速交互作用对损伤率的影响如图17a所示,当输送间隙固定为中心水平55 mm时,输送链轮转速一定,损伤率随螺旋输送器转速的增加呈现逐渐上升的趋势;当螺旋输送器转速一定时,随着输送链轮转速的增加,损伤率也呈现逐渐上升的趋势。螺旋输送器转速与输送间隙交互作用对损伤率的影响如图17b所示,当输送链轮转速固定为中心水平450 r/min时,输送间隙一定,损伤率随螺旋输送器转速的增加呈现逐渐上升的趋势;当螺旋输送器转速一定时,随着输送间隙的增大,损伤率呈现先减小后增大的趋势。

图17 各因素交互作用对损伤率影响的响应曲面

Fig.17 Response surfaces of influence of interaction of various factors on damage rate

3.8 参数优化

利用Design-Expert 12软件中优化模块对回归模型进行优化,构建目标函数和约束条件为

(13)

优化后最优参数组合为:螺旋输送器转速159.702 r/min、输送输送链轮转速459.388 r/min、输送间隙57.011 mm,该组合下输送率为98.876%,损伤率为1.777%。

4 田间试验

为验证EDEM-RecurDyn耦合仿真试验结果的准确性和可变间隙式过桥的实际输送效果,将装置安装于牧神4YZL-13型玉米籽粒收获机上,以整机适应性评价指标中的籽粒含杂率、籽粒破碎率、总损失率和可变间隙式过桥的输送率为试验指标进行田间试验,通过田间试验结果对过桥作业性能进行评价;在仿真试验中通过读取整个果穗受力超过损伤临界值来判定其为损伤果穗,而在实际的田间作业过程中损伤果穗可能只是果穗上部分籽粒受到损伤,因此通过果穗损伤数量计算损伤率时便会存在一定误差,使计算结果比实际结果偏大,而在田间试验中为了使试验结果更加准确,采用籽粒破碎率这一指标来表征果穗损伤状况。

4.1 试验条件

试验于2024年8月在新疆维吾尔自治区昌吉回族自治州榆树沟镇四畦村进行,试验设备包括秒表、皮尺、钢卷尺、游标卡尺、取样袋、电子秤和籽粒含水率检测仪等。试验地块为春播玉米种植地块,试验区由10 m的稳定区、20 m的测定区和10 m的停车区组成,测定区内作物长势均匀、无倒伏,种植玉米品种为和育187,种植模式为宽窄行(60 cm×40 cm)铺膜滴灌种植,株距为25 cm,植株自然高度为2 712 mm,最低结穗高度为1 013 mm,果穗大端直径为48 mm,籽粒含水率为27.6%。根据仿真试验获得的最优工作参数组合,将螺旋输送器转速设置为160 r/min、输送链轮转速设置为460 r/min、输送间隙设置为60 mm,其它部件工作参数参照文献[25],设置脱粒滚筒转速为400 r/min,凹板间隙为30 mm,风机转速为1 200 r/min,振动频率为5 Hz,上筛筛孔开度为18 mm,在田间进行3组重复试验,试验时机器以6 km/h的速度前进,收获行数为13行满幅收获,喂入量达到16 kg/s,玉米籽粒收获机田间试验如图18所示。

图18 田间试验

Fig.18 Field trial

4.2 评价指标

试验按照国家标准GB/T 21962—2020《玉米收获机械》规定的试验要求进行,综合试验标准收获机作业后要求总损失率不大于4%,籽粒破碎率不大于5%,籽粒含杂率不大于2.5%。

4.3 试验结果分析

试验结果如表5所示,3组重复试验所得籽粒含杂率平均值为0.85%,籽粒破碎率平均值为1.37%,总损失率平均值为1.09%,果穗输送率平均值为98.98%,与仿真试验的相对误差小于3%,各项试验指标均满足自走式玉米籽粒收获机的作业要求。

表5 验证试验结果

Tab.5 Verification experiment results %

序号籽粒含杂率籽粒破碎率总损失率输送率10.921.331.0998.8320.771.411.0399.1630.851.371.1698.94平均值0.851.371.0998.98

5 结论

(1)设计了一种可变间隙式过桥,其中浮动机构能够根据喂入量的变化自适应调节过桥的最大输送量以防止过桥堵塞,减少果穗出现损伤的机率。对浮动机构的浮动原理以及果穗的输送条件进行了分析,计算了同组链耙间最佳安装间距为414 mm,相邻组交错安装的链耙间的最佳安装间距为165.6 mm。

(2)建立了果穗和可变间隙式过桥的耦合模型,利用EDEM-RecurDyn耦合仿真的方法实现了输送链轮和喂入辊以及输送链条和输送链耙之间的挠性链传动运动,完成了果穗的动态仿真输送过程,获得了果穗在输送过程中的运动轨迹以及速度和受力的变化情况。

(3)以螺旋输送器转速、输送链轮转速、输送间隙为试验因素,以输送作业中果穗损伤率和输送率为试验指标进行了耦合仿真试验,结果表明过桥最佳工作参数组合为:螺旋输送器转速159.702 r/min、输送输送链轮转速459.388 r/min、输送间隙57.011 mm,此时过桥的输送率为98.876%,损伤率为1.777%,将过桥搭载于玉米籽粒收获机上进行田间试验,在田间试验过程中浮动机构能够可靠工作,且过桥未出现堵塞情况,田间试验结果与仿真试验结果误差小于3%,验证了仿真试验的准确性。

参考文献

[1] 孔令辉. 玉米机械化收获主要环节技术特征及应用要点[J]. 现代农村科技, 2023(12):119-120.KONG Linghui. Technical characteristics and application points of main links of corn mechanized harvest[J]. Modern Rural Science and Technology,2023(12):119-120. (in Chinese)

[2] 崔涛,樊晨龙,张东兴,等. 玉米机械化收获技术研究进展分析[J]. 农业机械学报, 2019,50(12):1-13.CUI Tao, FAN Chenlong, ZHANG Dongxing, et al. Research progress of maize mechanized harvesting technology[J]. Transactions of the Chinese Society for Agricultural Machinery,2019,50(12):1-13. (in Chinese)

[3] 王克如,李璐璐,鲁镇胜,等. 黄淮海夏玉米机械化粒收质量及其主要影响因素[J]. 农业工程学报, 2021,37(7):1-7.WANG Keru, LI Lulu, LU Zhensheng, et al. Mechanized grain harvesting quality of summer maize and its major influencing factors in Huanghuaihai region of China[J]. Transactions of the CSAE,2021,37(7):1-7. (in Chinese)

[4] WANG S Y, PENG B L, WU H C, et al. Design and modelling of the full-feed peanut picking device with self-adaptive adjustable working clearance and feeding rate[J]. International Journal of Agricultural &Biological Engineering, 2023, 16(6): 97-106.

[5] 郑金明,王东伟,尚书旗,等. 花生捡拾联合收获机喂入输送装置的设计与试验[J]. 农机化研究, 2023,45(4):81-87,94.ZHENG Jinming, WANG Dongwei, SHANG Shuqi, et al. Design and experiment of feeding and conveying device for peanut picking combine harvester[J].Journal of Agricultural Mechanization Research,2023,45(4):81-87,94. (in Chinese)

[6] 王申莹,胡志超,徐弘博,等. 全喂入式花生捡拾收获机捡拾输送装置研制[J]. 农业工程学报, 2019,35(19):20-28.WANG Shenying, HU Zhichao, XU Hongbo, et al. Development of pickup conveying device for all-feeding peanut pickup harvester[J]. Transactions of the CSAE,2019,35(19):20-28. (in Chinese)

[7] 王万章,刘婉茹,袁玲合,等. 小麦植株建模与单纵轴流物料运动仿真与试验[J]. 农业机械学报, 2020,51(增刊2):170-180.WANG Wanzhang, LIU Wanru, YUAN Linghe, et al. Simulation and experiment of single longitudinal axial material movement and establishment of wheat plants model[J]. Transactions of the Chinese Society for Agricultural Machinery,2020,51(Supp.2):170-180. (in Chinese)

[8] 轩梦辉. 联合收割机倾斜输送器装置装配质量检测研究[D]. 洛阳:河南科技大学, 2022.XUAN Menghui. Research on assembly quality inspection of inclined conveyor device of combine harvester[D]. Luoyang:Henan University of Science and Technology, 2022. (in Chinese)

[9] ZHANG X R, YANG Y M, WANG Q J, et al. Design and experiment of pneumatic seed clearing mechanism for pin-hole tube wheat plot precision sowing device[J]. International Journal of Agricultural &Biological Engineering, 2023, 16(4): 85-95.

[10] 陈俊志,史瑞杰,戴飞,等. 制种玉米与剥皮机构互作过程仿真与试验[J]. 农业机械学报, 2024,55(4):91-100.CHEN Junzhi, SHI Ruijie, DAI Fei, et al. Simulation and experiment on interaction process between seed corn and corn husking mechanism[J]. Transactions of the Chinese Society for Agricultural Machinery,2024,55(4):91-100. (in Chinese)

[11] 张红梅,张晨明,李志杰,等. 基于EDEM-RecurDyn的玉米指夹式排种器振动特性分析与优化[J]. 农业机械学报, 2023,54(增刊1):36-46.ZHANG Hongmei, ZHANG Chenming, LI Zhijie, et al. Simulation analysis and optimization of vibration characteristics of corn finger clip seeding device based on EDEM-RecurDyn coupling[J]. Transactions of the Chinese Society for Agricultural Machinery,2023,54(Supp.1):36-46. (in Chinese)

[12] LI Y F, ZHOU W Q, MA C C, et al. Design and optimization of the seed conveying system for belt-type high-speed corn seed guiding device[J]. International Journal of Agricultural &Biological Engineering, 2024, 17(2): 123-131.

[13] SHEN H Y, WANG B, WANG G P, et al. Research and optimization of the hand-over lifting mechanism of a sweet potato combine harvester based on EDEM[J]. International Journal of Agricultural &Biological Engineering, 2023, 16(5): 71-79.

[14] 胡建平,潘杰,陈凡,等. 基于EDEM-RecurDyn的指夹式取苗爪仿真优化与试验[J]. 农业机械学报, 2022,53(5):75-85,301.HU Jianping, PAN Jie, CHEN Fan, et al. Simulation optimization and experiment of finger-clamping seedling picking claw based on EDEM-RecurDyn[J]. Transactions of the Chinese Society for Agricultural Machinery,2022,53(5):75-85,301. (in Chinese)

[15] 周刚,杨虎,陈光勇,等. 玉米新品种引种试验[J]. 农业与技术, 2024,44(14):5-9.ZHOU Gang, YANG Hu, CHEN Guangyong, et al. Experiment on introduction of new maize varieties[J]. Agriculture and Technology,2024,44(14):5-9. (in Chinese)

[16] 王惊宇,刘迎春,耿慧,等. 北疆冷凉区玉米品种筛选试验[J]. 现代农业科技, 2024(13):1-3,7.WANG Jingyu, LIU Yingchun, GENG Hui, et al. Screening test of maize varieties in cold area of North Xinjiang[J]. Modern Agricultural Science and Technology,2024(13):1-3,7. (in Chinese)

[17] 陈芳飞,惠蕾,田野,等. 神木市春播玉米品种筛选[J]. 农业开发与装备, 2024(4):139-141.CHEN Fangfei, HUI Lei, TIAN Ye, et al. Selection of spring maize varieties in Shenmu City[J]. Agricultural Development and Equipment,2024(4):139-141. (in Chinese)

[18] 庄秋丽,黄玉波,徐博涵,等. 黄淮海宜机收籽粒玉米品种典型农艺性状筛选[J]. 江苏农业科学, 2024,52(6):89-95.ZHUANG Qiuli, HUANG Yubo, XU Bohan, et al. Screening of typical agronomic traits of suitable grain maize varieties in Huang-Huai-Hai[J]. Jiangsu Agricultural Sciences,2024,52(6):89-95. (in Chinese)

[19] 中国农业机械化科学研究院.农业机械设计手册:下册[M].北京:中国农业科学技术出版社,2007.

[20] LI C, LIU Z, LIU M, et al. Design and testing of key components for a multi-stage crushing device for high-moisture corn ears based on the discrete element method[J]. Applied Sciences, 2024, 14(19): 9108.

[21] 刘磊,杜岳峰,栗晓宇,等. 基于离散元法的种子玉米剥皮过程籽粒损失分析与试验[J]. 农业机械学报, 2022,53(增刊2):28-38.LIU Lei, DU Yuefeng, LI Xiaoyu, et al. Analysis and experiment of seed loss in corn husking process based on discrete element method[J]. Transactions of the Chinese Society for Agricultural Machinery,2022,53(Supp.2):28-38. (in Chinese)

[22] CHEN Z, XUE D, GUAN W, et al. Performance optimization of a spoon precision seed metering device based on a maize seed assembly model and discrete element method[J]. Processes, 2023, 11(11): 3076.

[23] 崔涛,荆茂盛,张东兴,等. 玉米果穗离散元模型构建与脱粒仿真验证[J]. 农业工程学报, 2023,39(24):33-46.CUI Tao, JING Maosheng, ZHANG Dongxing, et al. Construction of the discrete element model for maize ears and verification of threshing simulation[J]. Transactions of the CSAE,2023,39(24):33-46. (in Chinese)

[24] 王镇东,崔涛,张东兴,等. 玉米联合收获机纹杆式脱粒元件设计与试验[J]. 农业机械学报, 2021,52(9):115-123.WANG Zhendong, CUI Tao, ZHANG Dongxing, et al. Design and experiment of rasp bar threshing element of corn combine harvester[J]. Transactions of the Chinese Society for Agricultural Machinery,2021,52(9):115-123. (in Chinese)

[25] 王飞,阿力木·买买提吐尔逊,张俊三,等. 玉米籽粒收获机组合筛面预筛分式清选装置设计与试验[J]. 农业机械学报, 2024,55(5):135-147,166.WANG Fei, AlIMU Maimaitituersun, ZHANG Junsan, et al. Design and experiment of pre-screening cleaning device for combined screen surface of corn grain harvester[J]. Transactions of the Chinese Society for Agricultural Machinery,2024,55(5):135-147,166. (in Chinese)

Design and Experiment of Variable Gap Conveying Device for Corn Kernel Harvester

JIN Fan1,2 YANG Shihang1,3 ZHANG Junsan1,2 LI Qianxu2 CHE Shen1,3 PANG Tong1,3

(1.Mechanical and Electronic Engineering Institute, Xinjiang Agricultural University, Urumqi 830052, China2.Xinjiang Xinyan Luperus Technology Co., Ltd., Urumqi 830011, China3.Xinjiang Intelligent Agricultural Machinery Equipment Engineering Technology Research Center, Urumqi 830052, China)

Abstract:In response to the insufficient conveying capacity of intermediate conveying devices in current corn grain harvesters when paired with 13 rows or more of corn headers operating at feeding rate of 16 kg/s, as well as the tendency for clogging during fluctuations in feeding volume, a variable gap conveying device was designed. The working principle of the device was outlined and parameter design and motion analysis for key components such as the floating mechanism and chain-type conveyor mechanism were conducted. A virtual prototype model of the variable gap conveying device was established by using the multi-body dynamics software RecurDyn. The physical models of corn ears were obtained through 3D scanning technology, and a discrete element model (DEM) of corn ears was subsequently created in the discrete element software EDEM. By utilizing EDEM-RecurDyn coupling simulation, the trajectory of corn ears within the variable gap conveying device, as well as their velocity and force changes during various conveying stages were analyzed, which clarified the conveying laws of corn ears and identified the primary factors influencing conveying performance. A three-factor, three-level simulation experiment was conducted, with spiral conveyor speed, conveyor sprocket speed, and conveying gap as the experimental factors, and corn ear conveying rate and damage rate as the evaluation indicators. The optimal operating parameters obtained from the simulation experiments were then used to conduct field trials. The field test results indicated that when the feeding rate was 16 kg/s, spiral conveyor speed was 160 r/min, conveyor sprocket speed was 460 r/min, conveying gap was 60 mm, threshing drum speed was 400 r/min, concave clearance was 30 mm, fan speed was 1 200 r/min, vibration frequency was 5 Hz, and upper sieve opening was 18 mm, the variable gap conveying device achieved a conveying rate of 98.98%, with grain breakage rate of 1.37%, impurity content of 0.85%, and total loss rate of 1.09%. The field validation tests were in good agreement with the simulation results, fulfilling the operational requirements of the conveying device.

Key words: corn kernel harvester; variable gap conveying device; floating mechanism; chain-type conveyor mechanism; EDEM-RecurDyn

中图分类号:S225.51

文献标识码:A

文章编号:1000-1298(2025)07-0349-12

OSID:

doi:10.6041/j.issn.1000-1298.2025.07.032

收稿日期:2024-09-06

修回日期: 2024-12-02

基金项目:新疆维吾尔自治区重点研发计划项目(2022B02016)

作者简介:靳范(1968—),男,高级工程师,主要从事农业机械化技术装备研究,E-mail: 639916709@qq.com